中国政府网
|
湖北省人民政府网
|
湖北水利厅
|
设为首页
首页
关于我们
咨询服务
业务办理
互动交流
新媒体
您现在的位置:
首页
>
咨询服务
>
政策文件
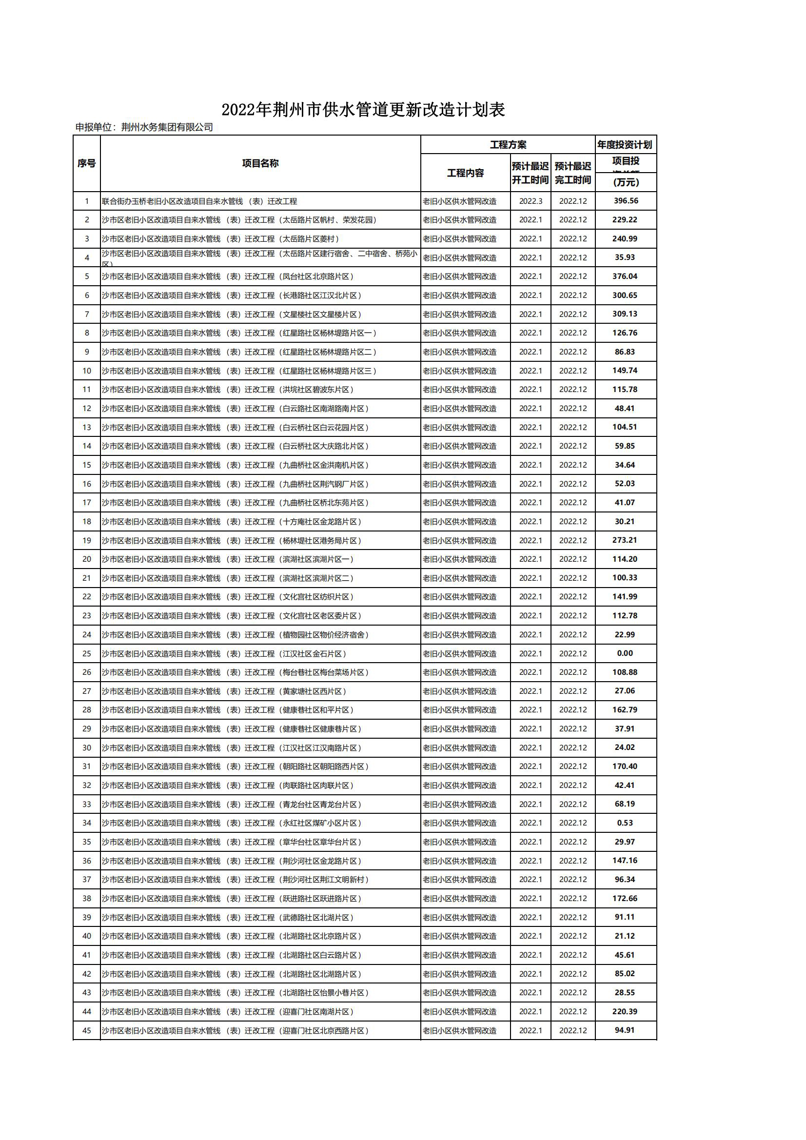
2022年荆州市供水管道更新改造计划表
信息来源: | 发布时间:2022-01-19 16:02:07
打印
关闭